正片
[清空]播放记录
芬奇,又名: 芬奇的旅程 / 生化 / 人生 / BIOS
我看不太懂,但大受震撼。
就记录一下,有剧透预警:
A.有意思的数字
1.超级风暴的40天

在旧约中,当上帝用洪水毁灭大地时,他让雨下了四十昼夜(创世记7:12) 。
摩西杀了埃及人之后,他逃到米甸,在那里他在沙漠中牧放羊群四十年(使徒行传7:30)。
摩西在西奈山上住了四十昼夜(出埃及记24:18)。
摩西为以色列人代祷了四十昼夜(申命记9:18,25)。
法律规定了一个人因犯罪该受的最多责打,限制设定为四十(申命记25:3)。
以色列探子花了四十天来侦察迦南(民数记13:25)。
以色列人在旷野流浪了四十年(申命记8:2-5)。
参孙得救以前,以色列服事非利士人有四十年(士师记13:1)。
歌利亚嘲弄扫罗的军队四十天,直到大卫来杀他(撒母耳记上17:16)。
以利亚逃避耶洗别,走了四十昼夜,到了何烈山(列王纪上19:8)。
40天在带有试炼、审判和试探的意义。
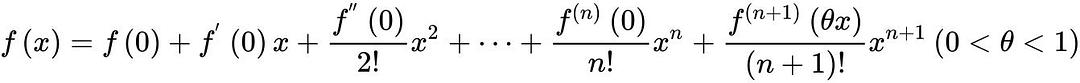
2.概率为1.00452
麦克劳林公式是泰勒公式(在,记)的一种特殊形式。

而依据麦克劳林公式,sin(90°)=sin(90*3.1415923/180)=1.00452
90°是直角,暗喻矛盾,推进情节。
附运算过程和代码:https://blog.csdn.net/aita3844/article/details/101406409

B.几个小伏笔
1.放电条件下氧气生成臭氧

2.克拉夫特《文学中的超自然恐怖》
人类最古老而强烈的情感便是恐惧;最古老而强烈的恐惧,则源自未知……


3.为什么向西?可能是传统...
摩西向海伸杖,耶和华便用大东风,
使海水一夜退去,水便分开,
海就成了干地。
以色列人下海中走干地,
水在他们的左右作了墙垣。
《出埃及》14:21-22
4.带孩子走路ing
我想把你当朋友...
你却想我当爸爸...

姐夫第一次单独做事,坑了杜威...

5.末世文明完全崩塌
信用是金融的基础,经济是社会的基础,末世感超强

6.人性不止于趋利,还包括避害。唯至此才显现道德的光辉,喻示秩序依旧存在

7. 约翰 杜威(John Dewey,1859—1952),美国著名哲学家、教育家,实用主义哲学的创始人之一,功能心理学的先驱,是美国唯心主义哲学家,实用主义"芝加哥学派"的创始人。

杜威在教科书《心理学》以及《心理学中的反射弧概念》中提出,行为并不是一种科学性的人为结构,人具有主观能动性,因此应该在人与环境的相互作用中进行研究。

C.一点小感触


有人乱世中统御一方,重铸秩序,是为英雄;
有人末日里苟全性命,不求闻达,无可厚非。
我是懦弱,畏惧人心,只有技术,没有手段;
我是自私,逃避追寻,无奈摆烂,无能为力。
像姐夫追寻着我的脚步,
像我珍藏这父亲的故事。
丛林法则,
马太效应,
凡有的,还要加给他叫他多余的;
没有的,连他所有的也要夺过来。
文明代码从头运行至尾,
是基本的输入输出系统。
(纯属个人观点)
下载电影就来比兔TV,本站资源均为网络免费资源搜索机器人自动搜索的结果,本站只提供最新电影下载,并不存放任何资源。
所有视频版权归原权利人,将于24小时内删除!我们强烈建议所有影视爱好者购买正版音像制品!
Copyright © 2025 比兔TV